LeetCode 250 Solution: How To Count Univalue Subtrees

W.Starberry 14 views
LeetCode 250 Solution: How To Count Univalue Subtrees

LeetCode 250 Solution: How to Count Univalue Subtrees

Hey guys! Today, we’re diving into LeetCode problem 250: Count Univalue Subtrees. This is a classic tree problem that tests your understanding of recursion and tree traversal. We’re going to break down the problem, walk through the solution, and make sure you’re comfortable tackling similar challenges. Let’s get started!

Understanding the Problem

So, what exactly is a “univalue subtree”? A univalue subtree is a subtree where all nodes have the same value. The goal is to count how many univalue subtrees exist in a given binary tree.

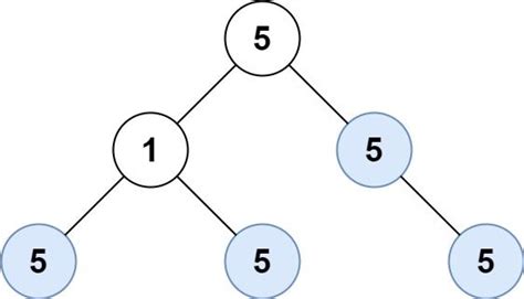
For example, consider this tree:

      5
     / \
    1   5
   / \   \
  5   5   5

In this tree, there are four univalue subtrees: the two leaves with value 5, the leaf with value 1, and the entire subtree rooted at the right child (5).

The problem statement is straightforward, but the solution requires a bit of thinking. We need to traverse the tree and, for each node, determine if the subtree rooted at that node is a univalue subtree. If it is, we increment our count.

Breaking Down the Solution

The key to solving this problem is to use a recursive approach. We’ll define a function that takes a node as input and returns two things:

  1. A boolean indicating whether the subtree rooted at that node is a univalue subtree.
  2. The count of univalue subtrees in that subtree.

Here’s how the recursive function works:

  1. Base Case: If the node is null , it’s a univalue subtree (an empty tree is considered a univalue subtree), and the count is 0.
  2. Recursive Step:
    • Recursively check if the left and right subtrees are univalue subtrees.
    • If both subtrees are univalue subtrees, check if the current node’s value matches the values of its children (if they exist).
    • If all conditions are met, the subtree rooted at the current node is a univalue subtree. Increment the count.

Let’s walk through the code:

class TreeNode:
    def __init__(self, val=0, left=None, right=None):
        self.val = val
        self.left = left
        self.right = right


class Solution:
    def countUnivalSubtrees(self, root: Optional[TreeNode]) -> int:
        count = 0

        def is_unival(node: Optional[TreeNode]) -> bool:
            nonlocal count
            if not node:
                return True
            
            left_unival = is_unival(node.left)
            right_unival = is_unival(node.right)

            if left_unival and right_unival:
                if node.left and node.val != node.left.val:
                    return False
                if node.right and node.val != node.right.val:
                    return False
                count += 1
                return True
            return False

        is_unival(root)
        return count

Code Explanation

  • We define a nested function is_unival(node) that recursively checks if the subtree rooted at node is a univalue subtree.
  • The nonlocal count statement allows us to modify the count variable defined in the outer scope.
  • The base case is when node is None , in which case we return True .
  • We recursively call is_unival on the left and right children.
  • If both children are univalue subtrees and the current node’s value matches the children’s values, we increment count and return True . Otherwise, we return False .

Diving Deeper: Optimizing and Edge Cases

Optimizing the Solution

Our current solution works fine, but there’s a slight optimization we can make. Instead of returning a boolean and updating the count separately, we can combine these two operations. We can modify the is_unival function to return True if the subtree is univalue and increment the count in the same step.

Here’s the optimized code:

class Solution:
    def countUnivalSubtrees(self, root: Optional[TreeNode]) -> int:
        self.count = 0

        def is_unival(node: Optional[TreeNode]) -> bool:
            if not node:
                return True

            left_unival = is_unival(node.left)
            right_unival = is_unival(node.right)

            if left_unival and right_unival and \
               (not node.left or node.val == node.left.val) and \
               (not node.right or node.val == node.right.val):
                self.count += 1
                return True

            return False

        is_unival(root)
        return self.count

In this version, we use self.count instead of nonlocal count , which is a more common practice in Python for class methods. The logic remains the same, but the code is a bit cleaner.

Edge Cases

When dealing with tree problems, it’s essential to consider edge cases. Here are a few to keep in mind:

  • Empty Tree: If the input tree is empty (i.e., root is None ), the count of univalue subtrees should be 0. Our code handles this case correctly.
  • Single Node Tree: If the tree consists of only one node, it’s a univalue subtree, and the count should be 1. Our code also handles this case correctly.
  • Skewed Trees: Skewed trees (where all nodes are either left children or right children) can be tricky. Make sure your code handles these cases without causing a stack overflow.

Common Mistakes and How to Avoid Them

  • Incorrect Base Case: Forgetting to handle the base case (i.e., when the node is None ) correctly can lead to incorrect results or infinite recursion. Always start by defining the base case.
  • Not Checking Node Values: Failing to check if the node’s value matches the values of its children can result in counting non-univalue subtrees. Make sure to include this check in your code.
  • Not Handling Empty Subtrees: Remember that an empty subtree is considered a univalue subtree. Make sure your code accounts for this.
  • Global vs. Nonlocal: Using global variables incorrectly in recursive functions can lead to unexpected behavior. Use nonlocal (or self.count in class methods) to modify variables in the outer scope.

Real-World Applications

While counting univalue subtrees might seem like an abstract problem, the underlying concepts are applicable in various real-world scenarios. Here are a few examples:

  • Data Analysis: In data analysis, you might need to identify homogeneous segments in a hierarchical dataset. For example, you could use a similar approach to find regions in a geographical hierarchy where the population density is uniform.
  • Image Processing: In image processing, you might need to identify regions in an image where the pixel values are similar. This can be useful for image segmentation and object recognition.
  • Network Analysis: In network analysis, you might need to identify subnets where all devices have the same configuration. This can be useful for network management and security.

Level Up Your Skills

  • Practice More Tree Problems: The best way to improve your skills is to practice more tree problems. LeetCode has a wide variety of tree problems that you can try.
  • Understand Tree Traversal Algorithms: Make sure you have a solid understanding of tree traversal algorithms like depth-first search (DFS) and breadth-first search (BFS). These algorithms are fundamental to solving tree problems.
  • Master Recursion: Recursion is a powerful technique for solving tree problems. Make sure you understand how recursion works and how to use it effectively.

Conclusion

And there you have it! We’ve successfully solved LeetCode problem 250: Count Univalue Subtrees. We’ve broken down the problem, walked through the solution, discussed optimizations and edge cases, and explored real-world applications. Remember to practice more tree problems and master recursion to level up your skills.

Keep coding, and I’ll see you in the next one!